Axiale spondyloartritis: moet je van farmacotherapeutische categorie veranderen als tweedelijnstherapie?
Axiale spondyloartritis (axSpA) wordt behandeld met NSAID’s, TNF-alfa-antagonisten, IL-17A-antagonisten en januskinaseremmers. Als een eerstelijnstherapie met een TNF-alfa-antagonist faalt, heb je twee mogelijkheden: je kan een andere TNF-alfa-antagonist voorschrijven zoals de ASAS-EULAR-richtlijnen 2022 aanraden, of je kan van farmacotherapeutische categorie veranderen.

Uit registergegevens blijkt dat een rotatie van behandeling mogelijk is. Het percentage responders zal dan wel lager zijn. Wat moet je dan kiezen? Het antwoord is te vinden in de ROC-SpA-studie, die een tweede TNF-alfa-antagonist heeft vergeleken met een IL-17A-antagonist als tweedelijnstherapie.
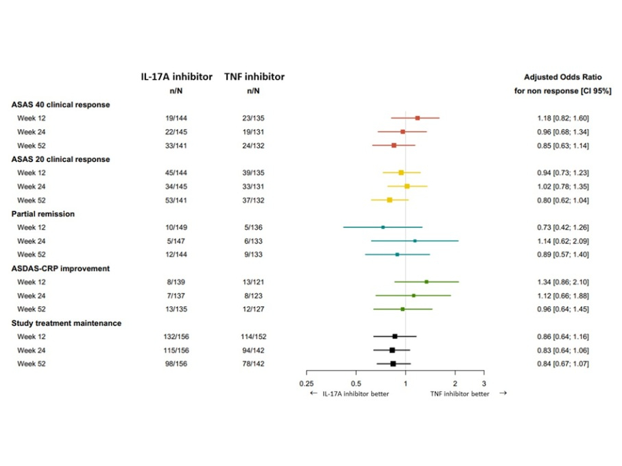
De ROC-SpA-studie (Rotation or change of biologics after first anti-TNF treatment failure in axSpA patients)1 is een prospectieve, gerandomiseerde, multicentrische, open, fase IV-superioriteitsstudie. De studie is uitgevoerd bij driehonderd patiënten met een actieve axSpA (BASDAI-score > 4 of ASDAS > 3,5), die onvoldoende hadden gereageerd op een behandeling met een TNF-alfa-antagonist gedurende drie maanden en die een stabiele dosering van synthetische DMARD’s, orale corticosteroïden en/of NSAID’s kregen sinds minstens een maand. De patiënten werden gerandomiseerd naar een IL-17A-antagonist of een tweede TNF-alfa-antagonist. Het primaire eindpunt was het percentage ASAS40-respons na 24 weken.
Het primaire eindpunt werd niet bereikt
Het percentage ASAS40-respons na 24 weken was vergelijkbaar in de twee groepen (15,2% met de IL-17A-antagonist en 14,5% met de TNF-alfa-antagonist). Er is evenmin een verschil gemeten in de secundaire eindpunten (percentage ASAS40-respons na 12 en 52 weken, percentage partiële remissie, percentage sterke verbetering van de ASDAS (Axial Spondyloarthritis Disease Activity Score) na 12, 24 en 52 weken). De persistentie van de behandeling na 54 weken bedroeg 62,8% met de IL-17A-antagonist en 54,9% met de TNF-alfa-antagonist.
Bij een explorerende analyse waren de resultaten iets beter met een IL-17A-antagonist als tweedelijnstherapie bij patiënten met een psoriasis van de huid, HLA-B27-negatieve patiënten en patiënten met een CRP-gehalte < 5 mg/l, maar het verschil was niet significant. Je kan echter toch een tweede TNF-alfa-antagonist voorschrijven als de eerste werd stopgezet wegens bijwerkingen. Het aantal bijwerkingen was vergelijkbaar in de twee groepen. 
Samen met de patiënt beslissen
In die gerandomiseerde studie bij patiënten met een axSpA die niet hadden gereageerd op een eerste TNF-alfa-antagonist, was het percentage ASAS40-respons na 24 weken niet beter met een IL-17A-antagonist dan met een tweede TNF-alfa-antagonist. De auteur raadt dan ook aan de beslissing bij elke patiënt afzonderlijk te nemen en in overleg met de patiënt. Je moet daarbij ook rekening houden met andere criteria zoals het veiligheidsprofiel en de wijze van toediening.
In de ROC-PR bij patiënten met reumatoïde artritis werden betere resultaten behaald bij verandering van farmacotherapeutische categorie. Dat kan je dus niet zomaar doortrekken naar patiënten met een axSpA.
Referenties:
1. Dalix E, et al. Arthritis Rheumatol 2025;77 (suppl 9). https://acrabstracts.org/abstract/rotation-or-change-of-biologic-after-tnf-blocker-treatment-failure-for-axial-spondyloarthritis/.